Inspirasi Menyaring Air Menggunakan Keramik
Februari 15, 2021
Penjernihan air dengan filter keramik, Fungsi filter keramik, Cara membuat filter keramik, Filter Keramik Air Minum, Saringan keramik adalah, Jenis saringan air yang banyak digunakan masyarakat desa Kerobokan Bali adalah, Cara membuat saringan keramik, Proses saringan keramik, Fungsi saringan keramik, Saringan keramik untuk virus, Cara kerja filter air minum, Saringan air yang menggunakan filter keramik dan menambah campuran perak berfungsi sebagai,
Inspirasi Menyaring Air Menggunakan Keramik - Salah satu meterial untuk memperindah kediaman yang terkenal dan tak lekang oleh masa yaitu Menyaring Air Menggunakan Keramik. Untuk mewujudkan bak mandi keramik yang anda inginkan salah satu langkah awal merupakan menyiapkan bak mandi keramik yang tepat sesuai kebutuhan anda dan gaya yang anda inginkan. Menyaring Air Menggunakan Keramik merupakan material pelapis yang sangat populer di Indonesia. Selain harganya yang ekonomis dan proses instalasi yang tergolong praktis, bak mandi keramik juga terdiri dari berbagai macam motif yang siap mengubah nuansa interior tempat tinggal tak lagi membosankan.
Penampilan yang baik, mungkin tak sedikit dana yang harus anda keluarkan. Asal anda bisa membuat ide-ide tentang bak mandi keramik yang cemerlang, tentunya akan irit anggaran. Apakah anda tertarik dengan Menyaring Air Menggunakan Keramik?, dengan pembahasan tentang bak mandi keramik dibawah ini, semoga bisa menjadi pilihan inspirasi anda.Ulasan kali ini dengan judul artikel Inspirasi Menyaring Air Menggunakan Keramik berikut ini.
Saringan Keramik Keramik Filter Yayasan Dian Desa . Sumber Gambar : www.diandesa.org

Filter Saringan Air Keramik Penyaring Kran Air yang . Sumber Gambar : tokoonline88.com

SWS Hi Tech Cartridge Penjernih Air . Sumber Gambar : solusiruma.com

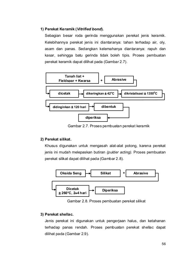
Kelas 12 smk teknik pemesinan gerinda 5 . Sumber Gambar : www.slideshare.net
Kumpulan Teknik Penyaringan Air Sederhana . Sumber Gambar : alizainsyahab.blogspot.com
Jual Saringan air Keramik Water Filter Keramik SWS . Sumber Gambar : www.tokopedia.com
Jual Alat Penyaring Filter Saringan Penjernih Air Water . Sumber Gambar : www.tokopedia.com

981 Saringan Filter Air Kran SWS Hi Tech Ceramic Grosir . Sumber Gambar : www.grosircirebon.com

Water Filter Purifier Saringan Air Kran 2Day Trendy . Sumber Gambar : 2daytrendyx.com

Spray Booth Cat Oven Global Endo Teknik . Sumber Gambar : global-endoteknik.com

Cara Kerja Filter Akuarium Akuarium Mas Koki . Sumber Gambar : akuariummaskoki.blogspot.com

Kelebihan Menggoreng dengan Teknik Deep Frying ASTA Homeware . Sumber Gambar : astahomewareblog.blogspot.com

Kelebihan Menggoreng dengan Teknik Deep Frying ASTA Homeware . Sumber Gambar : astahomewareblog.blogspot.com